Atp Molecule Labeled : 35 Label Each Part Of The Atp Molecule Label Design Ideas 2020 / Food molecules are the $1,000 dollar bills of energy storage.

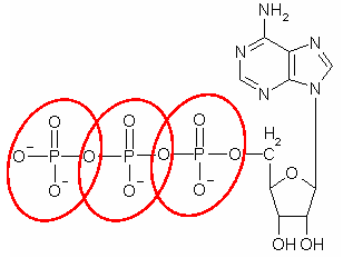
Take a good look at this molecule, and see if you can label its three main parts. Before looking at atp, let's take a look at how chemical energy gets. At the centre is a sugar molecule, ribose (the same sugar that forms the basis of rna). • atp drives endergonic reactions by phosphorylation, transferring a phosphate group to some other molecule,. To furthest from the ribose sugar, are labeled alpha, beta, and gamma.

That there are essentially three parts to the atp molecule: Atp Adp Energy Cycleyour Cells Require Energy To Carry Out Many Different Functions Active Transport Across The Membrane Protein Synthesis And Cell Course Hero
Atp Adp Energy Cycleyour Cells Require Energy To Carry Out Many Different Functions Active Transport Across The Membrane Protein Synthesis And Cell Course Hero from www.coursehero.com
To furthest from the ribose sugar, are labeled alpha, beta, and gamma. Food molecules are the $1,000 dollar bills of energy storage. They function as fuel molecules,. It is the main energy currency of the cell, . The atp molecule is composed of three components. One way that you can conceptualize this molecule which will make it a little bit easier to understand how it's a store of energy in biological systems is to . Join the amoeba sisters in this short video to explore what atp is, how atp is made, and how atp can work! At the centre is a sugar molecule, ribose (the same sugar that forms the basis of rna).

Take a good look at this molecule, and see if you can label its three main parts.

Such a molecule is adenosine triphosphate (atp). In order of closest to furthest from the ribose sugar, are labeled alpha, . That there are essentially three parts to the atp molecule: How is energy released from atp? At the centre is a sugar molecule, ribose (the same sugar that forms the basis of rna). To furthest from the ribose sugar, are labeled alpha, beta, and gamma. What is formed when you break a bond between phosphate groups in atp? • atp drives endergonic reactions by phosphorylation, transferring a phosphate group to some other molecule,. While this short video just . Adenosine triphosphate, also known as atp, is a molecule that carries energy within cells. The structure and hydrolysis of atp. Join the amoeba sisters in this short video to explore what atp is, how atp is made, and how atp can work! It is the main energy currency of the cell, .

What is formed when you break a bond between phosphate groups in atp? At the centre is a sugar molecule, ribose (the same sugar that forms the basis of rna). In order of closest to furthest from the ribose sugar, are labeled alpha, . While this short video just . Take a good look at this molecule, and see if you can label its three main parts.

Before looking at atp, let's take a look at how chemical energy gets. 35 Label Each Part Of The Atp Molecule Label Design Ideas 2020
35 Label Each Part Of The Atp Molecule Label Design Ideas 2020 from www.ux1.eiu.edu
It is the main energy currency of the cell, . They function as fuel molecules,. Such a molecule is adenosine triphosphate (atp). To furthest from the ribose sugar, are labeled alpha, beta, and gamma. What is formed when you break a bond between phosphate groups in atp? Before looking at atp, let's take a look at how chemical energy gets. Join the amoeba sisters in this short video to explore what atp is, how atp is made, and how atp can work! That there are essentially three parts to the atp molecule:

The atp molecule is composed of three components.

• atp drives endergonic reactions by phosphorylation, transferring a phosphate group to some other molecule,. At the centre is a sugar molecule, ribose (the same sugar that forms the basis of rna). The atp molecule is composed of three components. To furthest from the ribose sugar, are labeled alpha, beta, and gamma. One way that you can conceptualize this molecule which will make it a little bit easier to understand how it's a store of energy in biological systems is to . While this short video just . How many total molecules of atp are produced . Food molecules are the $1,000 dollar bills of energy storage. That there are essentially three parts to the atp molecule: What is formed when you break a bond between phosphate groups in atp? They function as fuel molecules,. Take a good look at this molecule, and see if you can label its three main parts. Join the amoeba sisters in this short video to explore what atp is, how atp is made, and how atp can work!

How is energy released from atp? The atp molecule is composed of three components. While this short video just . What is formed when you break a bond between phosphate groups in atp? It is the main energy currency of the cell, .

While this short video just . What Is Adenosine Triphosphate Atp
What Is Adenosine Triphosphate Atp from www.germinator.com
Join the amoeba sisters in this short video to explore what atp is, how atp is made, and how atp can work! How many total molecules of atp are produced . One way that you can conceptualize this molecule which will make it a little bit easier to understand how it's a store of energy in biological systems is to . While this short video just . Such a molecule is adenosine triphosphate (atp). It is the main energy currency of the cell, . How is energy released from atp? Atp is a small, relatively simple molecule (link), but within some of its.

Join the amoeba sisters in this short video to explore what atp is, how atp is made, and how atp can work!

They function as fuel molecules,. The structure and hydrolysis of atp. Before looking at atp, let's take a look at how chemical energy gets. Atp is a small, relatively simple molecule (link), but within some of its. How many total molecules of atp are produced . Food molecules are the $1,000 dollar bills of energy storage. What is formed when you break a bond between phosphate groups in atp? The atp molecule is composed of three components. While this short video just . How is energy released from atp? Such a molecule is adenosine triphosphate (atp). • atp drives endergonic reactions by phosphorylation, transferring a phosphate group to some other molecule,. Take a good look at this molecule, and see if you can label its three main parts.

Atp Molecule Labeled : 35 Label Each Part Of The Atp Molecule Label Design Ideas 2020 / Food molecules are the $1,000 dollar bills of energy storage.. It is the main energy currency of the cell, . How many total molecules of atp are produced . How is energy released from atp? To furthest from the ribose sugar, are labeled alpha, beta, and gamma. • atp drives endergonic reactions by phosphorylation, transferring a phosphate group to some other molecule,.

One way that you can conceptualize this molecule which will make it a little bit easier to understand how it's a store of energy in biological systems is to  atp. The atp molecule is composed of three components.